Top 44 Toán Lớp 4 Trang 85 Update
Top 44 Toán Lớp 4 Trang 85 Update Giải Bài: Thương Có Chữ Số 0 Trang 85 Sgk Toán 4. Keywords searched by users: toán… Read More »Top 44 Toán Lớp 4 Trang 85 Update
Top 44 Toán Lớp 4 Trang 85 Update Giải Bài: Thương Có Chữ Số 0 Trang 85 Sgk Toán 4. Keywords searched by users: toán… Read More »Top 44 Toán Lớp 4 Trang 85 Update
Top 99 Toán Lớp 4 Trang 65 Update Toán Lớp 4 – Vở Bài Tập 2 (Bài 140/ Trang 65) – Luyện Tập – Thầy… Read More »Top 99 Toán Lớp 4 Trang 65 Update
Top 51 Toán Lớp 4 Trang 26 Update Toán Lớp 4 Bài 10 | Biểu Thức Có Chứa Chữ | Trang 26 – 27 |… Read More »Top 51 Toán Lớp 4 Trang 26 Update
Top 18 Toán Hình Học Lớp 6 Update Ôn Tập Hình Học Lớp 6 – [Kh Online – Buổi 16] Keywords searched by users: toán… Read More »Top 18 Toán Hình Học Lớp 6 Update
Top 18 Toán Hình Học Lớp 5 Update Ôn Tập Về Tính Diện Tích, Thể Tích Một Số Hình – Toán Lớp 5 – Cô… Read More »Top 18 Toán Hình Học Lớp 5 Update
Top 26 Toán Hình Học Lớp 1 Update Toán Lớp 1: Phương Pháp Giải Bài Toán Đếm Hình Tam Giác Keywords searched by users: toán… Read More »Top 26 Toán Hình Học Lớp 1 Update
Top 46 Toàn Đại Gia Tô Màu Update Tô Màu Tranh Cát Cầu Vồng 7 Màu Trên Bầu Trời – Coloreds And Painting Rainbow Beautiful… Read More »Top 46 Toàn Đại Gia Tô Màu Update
Top 17 Toán 9 Sgk Trang 76 Update Giải Bài 10 Trang 76 Sgk Toán 9 Tập 1 Keywords searched by users: toán 9 sgk… Read More »Top 17 Toán 9 Sgk Trang 76 Update
Top 40 Toán 8 Sgk Trang 20 Update Giải Bài 43 Trang 20 Sgk Toán 8 Tập 1 Keywords searched by users: toán 8 sgk… Read More »Top 40 Toán 8 Sgk Trang 20 Update
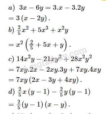
Top 42 Toán 8 Sgk Trang 19 Update Toán Lớp 8 Bài 4 | Phép Nhân Đa Thức | Trang 19 – 21 | Kết… Read More »Top 42 Toán 8 Sgk Trang 19 Update